Jörg
Giese (1, 5)*, Diane Seward (2), Finlay M. Stuart (3), Eliane Wüthrich (2),
Edwin Gnos (4), Daniel Kurz (1), Urs Eggenberger (1) и Guido Schreurs (1)
(1) Institute of Geological Sciences (Институт
геологических наук), University of Bern, Baltzerstrasse 1 and 3, CH-3012 Bern,
Switzerland / Швейцария
(2) Geological Institute (Геологический институт),
ETH Zürich, Leonhardstrasse 19, CH-8092 Zürich, Switzerland /
Швейцария
(3) Isotope Geoscience Unit Отдел изотопной
геонауки), Scottish Universities Environmental Research Centre, Scottish
Enterprise Technology Park, East Kilbride G 75 0QF, UK / Соединенное
королевство
(4) Muséum d’Histoire Naturelle
de Genève (Женевский музей естественной истории), route de Malagnou 1, CP 6434,
CH-1211 Genève, Switzerland / Швейцария
(5) Адрес на данный момент: Institut für
Geologie und Paläontologie (Институт геологии и палеонтологии), Westfälische
Wilhelms-Universität Münster, Corrensstrasse 24, 48149 Münster, Germany /
Германия
* Ведущий переписку автор. Эл. почта: joerg.giese@uni-muenster.de
Хорошо известно, что
отбор образцов и разделение минералов имеют решающее значение в получении
геохимических данных высокого качества. Процесс электродинамического разделения
является альтернативным механическому дроблению способом разделения цельной
породы. Российские ученые начали экспериментировать с высоковольтными
электрическими разрядами для разделения цельных материалов в 1950-х годах
(Юткин 1955, Воробьев и Саядовскаям 1955), а с 1980-х проводили фундаментальные
исследования (Каляцкий с соавторами, 1980, Курец с соавторами, 1989,
Финкельштейн с соавторами, 1989, Шулояков с соавторами, 1989, 1995, Шулояков,
1991, Рудашевский с соавторами, 1991, 1995, Блум с соавторами, 2000, 2001, Усов
и Цукерман 2000). В настоящее время в России промышленно применяются различные
устройства, использующие способ электроимпульсного разделения (EPD) или
электроимпульсной дезинтеграции (EID) для разделения минералов и в других
целях. Несколько прототипов были также испытаны в Северной Америке и в Европе,
среди прочих в исследовательском центре Карлсруэ в Германии (Andres 1977, 1989,
Andres and Bialecki 1986, Bialecki et al.
1992, Touryan et al. 1992, Weiblen
1994, Saini-Eidukat and Weiblen 1996, Bluhm et
al. 2000, 2001, Lastra et al.
2003, Cabri et al., 2005).
Большинство примененных устройств используют электрические разряды, вызывающие
взрыв в диэлектрической жидкости (например, в воде), который создает ударные
волны, действующие на поверхность цельного материала. Этот метод называется
электрогидравлическим разделением. Взрывной разряд внутри твердого материала
был получен только недавно, благодаря использованию быстрых импульсных разрядов
(Andres 1995, Semkin et al. 1995, Bluhm
et al. 2000, 2001). В таких условиях
физические характеристики меняются, если электрические импульсы имеют очень
малую длительность.

Рисунок
1. Схематический рисунок процесса разделения. Через погруженный в воду
диэлектрический образец (а) протекает короткий (< 500 нс) высоковольтный
разряд (b, c). Это вызывает образование в образце разрядного канала, быстрое
местное испарение (взрыв) и возникновение ударных волн, разрывающих материал по
поверхностям раздела. Расстояние от электрода до образца поддерживается
минимальным (с) для того, чтобы исключить протекание разряда мимо образца.
При сокращении времени нарастания импульса
(< 500 нс) диэлектрический пробой происходит преимущественно в твердом
веществе, а не в жидкости. Это называется электродинамическим разделением.
Другими словами, твердый материал становится лучшим проводником, чем окружающая
диэлектрическая жидкость, поэтому импульсный разряд стремится пройти через твердый
материал. Путь разряда обычно называют каналом разряда.
Способ электродинамического разделения (ЭР) позволяет разделять
породы и другие минеральные агрегаты по границам зерна или по границам раздела
(а именно, по местам расположения примесей, жидких вкраплений, разделительным
пластинам, двойниковым плоскостям). Это называется избирательным
фрагментированием. В соответствии с данными Рудашевского с соавторами (1995)
электрический ток резко увеличивается в расширяющемся канале разряда,
заполненном плазмой высокой плотности (Рис. 1). Импульсы высокой энергии
передаются по каналу разряда, вызывая повышение температуры на месте до 10 000
K и давления до 1010 Па – условий, сравнимых с обычным взрывом. Эта
быстро расширяющаяся плазма вызывает ударные волны (Рис. 1). Волны
распространяются через анизотропный материал и являются главной разделяющей
силой за пределами пути разряда в материале. Наложение этих волн сжатия с отраженными
волнами освобождения по границам зерна или примесям внутри зерна приводит к
возникновению разрывающие напряжения, которое, в случае превышения прочности
материала на разрыв, может вызвать его растрескивание (Bluhm et al. 2001). Для этого способа наиболее
подходящими являются неметаллические материалы. В идеальных условиях
достигается полное разделение гомогенных частей, имеющих разные диэлектрические
константы, и, в зависимости от типа образца, получается очень малое количество
мелкого материала (например, Andres et
al. 1999, Gnos et al. 2006).
Другим преимуществом ЭР является низкое потребление энергии, равное или даже
меньшее, чем при обычных способах фрагментирования (Bialecki et al. 1992), и удобство очистки
реакционного сосуда.
Металлическая пластина (контрэлектрод), находящаяся под образцом в
реакционном сосуде, проводит разряд через материал образца. Образец и электроды
погружены в жидкость с выраженными диэлектрическими свойствами, обычно в
обессоленную воду. Для извлечения материала в ходе работы на дно реакционного
сосуда можно устанавливать сменные сита (Рис. 1). Извлеченный материал
больше не подвергается воздействию ЭР.

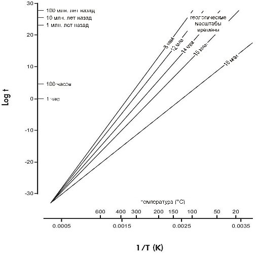
Рисунок
2. График Аррениуса (температура – время) для апатита при обжиге. График
модифицирован по Ласлетту и Галбрэту (Laslett and Galbraith (1996)).
Изолинии установлены под экспериментальные данные (Laslett and Galbraith 1996)
и экстраполированы до геологических масштабов времени для длин следов от 8
до 16 мкм. Условия в плазменном канале установки selFrag Lab до 10000 K для
< 500 нс лежат за пределами поля графика.
Высокая температура на очень малом участке может создавать
расплавленные элементы кристаллических поверхностей размером не больше 1-2 мкм
(Gnos et al. 2006). Во всех случаях
наблюдения они встречались на зернах с очень хорошей электрической
проводимостью (а именно, на магнитном железняке, ферросиликатах). Измеренное
повышение температуры воды в сосуде во время процесса обычно было менее 3°C. Высокая
температура и ударные волны, создаваемые в ходе электродинамической обработки,
вызывают вопрос, не влияет ли этот метод на минералы, обычно используемые для
низкотемпературной термохронологии, например, на апатит. На масштабах
геологического времени температура 60°C может выжигать следы распада в апатите,
а при температуре выше 110°C следы обычно не сохраняются. Выжигание следов
распада можно легко определить по уменьшению их длины (см. Рис. 2 по
Laslett and Galbraith 1996, Ravenhurst and Donelick 1992). (U-Th)/He
датирование апатита по геологическим периодам времени (Farley 2000)
чувствительно к температурам от 30°C до 40°C. Рассеивание Не экспоненциально
возрастает с ростом температуры, а импульсы нагрева в ходе подготовки образца
могут стать причиной потери Не в апатите, что приводит к снижению (U-Th)/He
возраста.
Для обоих термохронометров зависимость
времени от температуры оценивалась и экстраполировалась только для геологически
значимой температуры и шкал времени (эксперименты длительностью от минут до
недель экстраполировались до миллионов лет (см. Рис. 2). Доступных
экспериментальных данных или данных моделирования по сочетанию максимального
времени и температуры в методе ЭР (< 500 нс; 10 000 K) нет, а их пригодность
для экстраполирования до сих пор неизвестна.
Для проверки воздействия электродинамического разделения мы
сравнивали результаты анализа следов распада и (U-Th)/He анализа разделенного
апатита, полученного (а) посредством ЭР с использованием оборудования
selFrag Lab (Институт геологических наук, Бернский университет, Швейцария)
высоковольтной импульсной энергии и (b) полученного механическим
дроблением в щековой дробилке и в дисковой мельнице. Такой подход
рассматривается как наиболее чувствительный тест для решения вопроса, не
ограничивает ли применение метода ЭР возможное возникновение высокой
температуры, возникающей в мельчайших плазменных каналах.
Описание образца и хода его приготовления
В этой статье мы используем название апатит в качестве нейтральной
формы для группы апатитовых минералов (фторапатит, Ca5(PO4)3
(F); хлорапатит, Ca5(PO4)3 (Cl) и
гидроксилапатит, Ca5(PO4)3 (OH)) по всему
тексту. На кристаллах, использованных в этом исследовании, поверхности с
элементами расплава не наблюдались.
Анализ следов распада
Три образца описаны в хронологическом порядке обработки.
Промежуток времени между обработкой каждого образца составлял несколько
месяцев. Здесь нужно отметить, что методология работы со временем менялась, что
стало причиной некоторых различий процесса разделения образцов. Однако главной
задачей каждого теста была проверка применимости способа ЭР для
низкотемпературного термохронологического анализа. Выбранные условия
механической обработки основывались на опыте систематического дробления пород
разного типа. Импульсы можно прикладывать пакетами, что позволяет прерывать
процесс при достаточном разделении материала.
Первым образцом (JG 47) был богатый калиевым шпатом ортогнейс
из докембрийского основания центрального Мадагаскара (E45°49´02 / S20°28´57).
Образец нарезан породной пилой на бруски 8 x 8 x 3 см,
подходящие для реакционного лабораторного сосуда selFrag. Затем образец был
разделен на две части по 556 г (JG47ED_556) и 243 г (JG47ED_243).
Каждая часть фрагментировалась отдельно ЭР методом в условиях 120 кВ и 252 импульсов
при 3 Гц и электродном расстоянии 10 мм. Затем образцы просеивались
для выделения фракции требуемой величины – от 63 мкм до 250 мкм.
Вторым образцом был надежно датированный туф из Фиш Кеньон (ФКТ),
Кальдера ла Гарита, горы Сан-Хуан, юго-запад Колорадо. Минералы из ФКТ широко
используются в качестве геохронологических эталонных материалов. Например,
кристаллы санидина из ФКТ указывают на 40Ar/39Ar возраст
от 27,5 до 28,05 млн. лет (см. Schmitz and Bowring 2001 и ссылки в этой публикации).
Апатит из ФКТ принят подкомиссией геохронологической группы МСГН
(Международного союза геологических наук) по стандартизации метода датирования
по следам распада как эталонный материал возраста для анализа следов распада
(Hurford 1990a, b). Исходный вес образца ФКТЭР составлял 811 г.
Образец был расколот на несколько кусков размером примерно 2-4 см и один
большой кусок примерно 10-12 см в диаметре. На дно лабораторной камеры
selFrag для образца было установлено сито с ячеей 1 мм. Параметры рабочих условий
дробления образца увеличивались пошагово для определения минимально необходимых
условий для разрушения. После 454 импульсов со средними значениями 106 кВ,
3,7 Гц и электродным расстоянием 20 мм образец полностью разделился.
Материал из взвеси был удален, после чего общий вес на выходе составил 786,5 г.
Фракция зерен 63-250 мкм была получена мокрым просеиванием.
Третьим образцом (RD 64) был мусковитовый гнейс из Родопских гор в
северной Греции (E24°12´05 / N41°14´50). Подготовка пробы была разделена на два
этапа обработки. На первом этапе несколько разбитых молотком кусков до ~ 4 см
в диаметре общим весом 1469,6 г были загружены в камеру для образцов
прибора selFrag Lab. На дно камеры для образцов было установлено сито с ячеей 2 мм. Большая часть образца была
пропущена сквозь сито после приложения 672 импульсов при 2,83 Гц,
электродном расстоянии 25 мм и среднем напряжении 132,5 кВ. Фракция
размером менее 63 мкм была отброшена, а остаток повторно подвергнут ЭР с
использованием сита 0,8 мм при среднем электродном расстоянии 20 мм, 830 импульсах со средней
частотой 2,62 Гц и средним напряжением импульса 128 кВ.
Механическое дробление каждого образца выполнялось на щековой
дробилке (расстояние между пластинами ~ 0,8
см), при этом образец был размолот на мелкие
кусочки. Дальнейшее измельчение образца выполнялось на роторной дисковой
мельнице, оснащенной стальными дисками с расстоянием между ними от 0,1 до 0,3 мм.
Нужная фракция зерен от 63 до 250 мкм получалась также сухим просеиванием.
Чтобы получить фракции апатита, образцы JG 47 и RD 64 (ЭР
и механическое дробление) подвергались грубому предварительному
разделению с использованием стола Уилфли. Все образцы (ФКТ, JG 47 и RD 64)
затем обрабатывались разбавленным йодидом метилена 3,1 г см-3,
в магнитном сепараторе Frantz®isodynamic® и, наконец,
чистым йодидом метилена (3,3 г см-3). Затем выделенные фракции
апатита из всех образцов фиксировались на предметных стеклах эпоксидной смолой,
нарезались и шлифовались алмазной пастой 1 мкм и протравливались в течение
50 с в 7% HNO3 при 21°C. Микроскопический анализ проводился при
1250-кратном увеличении с помощью микроскопа Цейсс с компьютерным приводом
предметного столика (программное обеспечение FT Stage 4.01a, Dumitru 1993) в
лаборатории следов распада, ETH Цюрих.
(U-Th)/He анализ
Двуслюдяной лейкогранит из горного
массива Заер, Западная Месета, Марокко, был разделен на две аликвоты для ЭР и
механического дробления. Для метода ЭР аликвота породы 900 г была разбита
на большие куски 5-8 см и помещена в реакционный сосуд. На первом этапе
почти весь образец был переработан в режиме 1305 импульсов при 2,37 Гц,
электродном расстоянии 25 мм и среднем напряжении 125,2 кВ и просеян
через сито 1,5 мм. На втором этапе образец был целиком переработан в
режиме 799 импульсов при 1,86 Гц, электродном расстоянии 25 мм и
среднем напряжении 132,4 кВ и просеян через сито 1 мм, установленное
на дне камеры образца. Первый концентрат тяжелой минеральной фракции был
получен при помощи стола Уилфли. Вторая аликвота разделялась механическим дроблением
в щековой дробилке и дисковой мельнице. Целевая фракция 60-200 мкм
просеивалась и отмывалась от пыли. Затем апатит из обоих аликвот
концентрировался магнитным сепаратором Frantz®isodynamic® и
тяжелой жидкостью – полифольфраматом лития – в системе переливного
центрифугирования.
Фракции апатита, приготовленные обоими способами, вначале
проверялись на чистоту при 10-кратном увеличении с использованием обычного
мощного бинокулярного стереомикроскопа. Богатая апатитом фракция очищалась
ацетоном (чистота ≥ 99,5%), призматические кристаллы апатита, свободные от
жидких включений, с диаметром призм 50-75 мкм, выбирались вручную при
218-кратном увеличении в поляризованном свете с использованием
стереомикроскопа. Диаметр призм измерялся при помощи измерительной сетки с
деление 10 х 10. Из фракции апатита, полученной ЭР, были выбраны шесть
кристаллов апатита, и три кристалла апатита были выбраны из аликвоты, измельченной
механически. Выбранные кристаллы заключались в гофрированные трубки из
платиновой (Pt) фольги высокой чистоты диаметром 1 мм. Пакеты из Pt фольги заключались
в экстракционную камеру высокого вакуума, каждый пакет поочередно нагревался
приблизительно до 1000°C на 1 минуту при помощи диодного лазера 808 нм в
цельнометаллическом свободном от газа аппарате при давлении < 10-9
мбар. Извлеченные газы очищались в угольной ловушке с охлаждением жидким
азотом. Ток луча при массе 4 измерялся электронным множительным детектором,
фокусирование с использованием квадрупольного масс-спектрометра (Hiden HAL3F). Концентрация
гелия в кристаллах определялась сравнением высоты пика с искусственно
приготовленным эталонным образцом гелия. Измерение Не в эталонном образце
выполнялось на всем протяжении процедуры анализа. Дневная воспроизводимость
измерений эталонного Не в период анализа была лучше ± 0,5% (1 с). Лазерное
нагревание пустых трубок из платиновой фольги обычно давало значение бланковой
пробы 1,5 x 10-12 cм3 СТД (стандартные температура и
давление).
После определения Не пакеты из платиновой фольги вынимались из
вакуумной системы и апатит из каждого пакета растворялся в 5% по объему азотной
кислоте с пиками около 3 нг 230Th и 1,3 нг 235U. Концентрация
урана и Th измерялась масс-спектрометрией с индукционной плазмой (ИСП МС).
Следы U и Th в платиновой фольге потребовали коррекции бланковой пробы на ~
0,007 нг U и ~ 0,02 нг Th.
Фрагменты апатита из Дуранго рутинно анализировались для
отслеживания долгосрочного качества и воспроизводимости процесса в целом. За
период проведения этих анализов мы получили возраст 32,6 ± 1,6 млн. лет.
Подробное описание процедуры анализа описаны Фукеном (Foeken et al. (2006)).
Результаты и обсуждение
Анализ следов распада в апатите
Образец JG 47ЭР_243 был одним из первых образцов,
исследованных прибором selFrag Lab тогда, когда донных сит для реакционного
сосуда не было. Кроме этого, большое количество импульсов, приложенных к
образцу малого размера, привело к появлению фрагментированных и разрушенных
кристаллов, которые не подходили идеально для анализа следов распада.
Таблица 1.
Сравнение средней длины следа и длины параллельной оси с проекции следа
в механически раздробленных и электродинамически разделенных образцах.
|
Образец |
Средняя длина следа (мкм) |
Стандартное отклонение |
Эквивалентная длина следа, параллельного оси |
Стандартное отклонение |
Количество измерений |
|
JG 47ЭР_556 |
12,14 ± 0,14 |
1,45 |
13,60 ± 0,10 |
0,99 |
107 |
|
JG 47механич. дробл. |
12,42 ± 0,14 |
1,47 |
13,81 ± 0,09 |
0,96 |
107 |
|
FCTЭР |
15,45 ± 0,11 |
0,82 |
15,98 ± 0,08 |
0,61 |
57 |
|
FCTмеханич. |
15,70 ± 0,12 |
0,96 |
16,14 ± 0,08 |
0,70 |
69 |
|
RD 64ЭР |
13,74 ± 0,29 |
1,46 |
14,67 ± 0,22 |
1,12 |
25 |
|
RD 64механич. дробл. |
13,57 ± 0,29 |
2,00 |
14,74 ± 0,19 |
1,32 |
48 |
Проекция по оси С по Кетчаму (Ketcham (2003)). Расчет выполнен
бета-версией 6 программы HeFTy (Ketcham 2005b).


Рисунок 3. Распределение длин следов и длина следов в зависимости
от угла к оси с в (A) JG 47механич.дробл and JG 47_556ЭР (B)
FCTмеханич.дробл. и FCTЭР и (C) RD 64механич.дробл.
и RD 64ЭР.
Таблица 2.
(U-Th)/He данные из апатита лейкогранита, измельченного механически и ЭР
|
Образец |
Размер зерна |
238Uφ |
232Thφ |
4He* |
Возраст |
|
Механическое фрагментирование |
|
|
|
|
|
|
M0525-1a |
51 |
1,4 |
2 |
2,9 |
120,2 ± 8,5 |
|
M0525-1b |
70 |
2,4 |
3 |
4,2 |
131,7 ± 9,2 |
|
M0525-1c |
63 |
1,4 |
2,1 |
4,6 |
134,3 ± 9,0 |
|
Фрагментирование ЭР |
|
|
|
|
|
|
M0525-2a |
78 |
0,5 |
0,4 |
1,1 |
128,3 ± 7,3 |
|
M0525-2b |
72 |
0,7 |
1 |
1,8 |
133,2 ± 7,4 |
|
M0525-2c |
70 |
1 |
1 |
2,0 |
129,3 ± 9,8 |
|
M0525-2d |
67 |
0,7 |
0,8 |
1,5 |
137,5 ± 6,0 |
|
M0525-2e |
78 |
1,2 |
1 |
2,5 |
141,6 ± 6,2 |
|
M0525-2f |
65 |
0,5 |
0,3 |
1,0 |
138,4 ± 6,6 |
φ Неопределенность
концентраций U и Th регулируется воспроизводимостью измерений эталонного
образца (± 1%).
* Неопределенность
концентраций регулируется воспроизводимостью измерений эталонного образца (±
0,5%). Данные возраста образца M0525 сообщаются Горбалом (Ghorbal et al. (2008)).

Рисунок
4. (U-Th)/He возраст по сравнению с (A) Th/U отношениями и (B) диаметр зерна
(мкм) для отдельных кристаллов апатита лейкогранита из массива Заэр, Марокко.
Кристаллы, разделенные обработкой ЭР, показаны светло-серыми кругами,
кристаллы, приготовленные механически, показаны черными кругами.
Последующая доделка механизма и опыт работы позволили получить
неповрежденные кристаллы апатита во всех остальных образцах. Для последующих
образцов ступенчато увеличивалось электродное расстояние, количество импульсов
и напряжение, что позволило определить минимальные энергетические условия
разрушения. Оказалось, что зерна апатита из ФКТ, полученные ЭР сохраняют
электростатический заряд, что приводит к их слипанию и вызывает трудности с
разделением в тяжелой жидкости. Поэтому выход кристаллов уменьшался. Отмывка в
ацетоне уменьшала слипание кристаллов. Возможно, электростатический заряд
возникал из-за обработки образца пластмассовыми ситами и из-за использования
пластмассовых пакетов после обработки.
Длина следов: длина
следов распада измерялась в апатитах, разделенных как механически, так и ЭР.
Каждая пара образцов (FCTЭР с FCTмеханич.дробл, JG 47ЭР_556
с JG 47механич.дробл и RD 64ЭР с RD 64механич.дробл)
давала статистически идентичное распределение длин следов (Таблица 1, Рис. 3).
Из-за того, что отжиг в апатите является анизотропным (Green and Durrani 1977)
степень укорочения следов зависит от их ориентации относительно
кристаллографической оси (см. Green and Durrani 1977, Galbraith and Laslett
1988, Donelick et al., 1999, Ketcham
2003, 2005a и ссылки в этих публикациях). Для устранения возможного
кристаллографического отклонения статистики длин следов оценивалась длина по
сравнению углом к оси с, а длина следа проецировалась на параллельный
эквивалент оси с (Таблица 1 и Рис. 3). Узкое распределение и большая длина
следов апатита из ФКТ согласуется с его предполагаемым быстрым охлаждением в
зоне частичного отжига. Укороченная длина следов и большее распределение в
апатите JG 47 указывает на медленное охлаждение и частичный отжиг в его
геологической истории. Такое же медленное охлаждение и частичный отжиг уже был
описан для образцов из центрального Мадагаскара (Seward et al., 2004).
(U-Th)/He анализ апатита
Радиоактивный распад 238U, 235U и 232Th
до стабильных изотопов Pb дает несколько атомов 4He. В тех случаях,
когда гелий удерживается в решетке минералов на шкалах геологического времени,
эти минералы могут использоваться как хронометры. Степень диффузии He в апатите
сильно зависит от температуры и следует соотношению Аррениуса (Farley 2000).
Диффузия Не в решетке апатита значительна на геологических масштабах при
температуре от 30°C до 80°C. Для кристаллов апатита, типичных для гранитных
пород (диаметр призм от 50 до 100 мкм) (U-Th)/He возраст отражает время с
начала накопления He в кристаллической решетке и прекращения диффузии. При
температуре выше 80°C весь He выходит из зерен, а ниже 30°C весь He
удерживается. Степень диффузии возрастает экспоненциально с увеличением
температуры так, что при 1000°C типичный апатит гранита теряет весь Не на
шкалах времен за секунды или минуты.
Диаметр каждого кристалла и измеренные соотношения U/Th и
(U-Th)/He возрастов каждого образца указаны в Таблице 2 и на Рис. 4. (U-Th)/He
возрасты неверны для реактивной потери 4He. В каждом случае сигналы
U, Th и He (Таблица 2) значительно выше бланковых значений
масс-спектрометра, приведенных ранее, и поправки значительно не изменяют
измеренные (U-Th)/ He возрасты. Аналитические неопределенности обычно
поглощаются воспроизводимостью измерений эталонных материалов и неопределенностью
пиковых концентраций U и Th. Они достигают примерно 5%.
Шесть отдельных кристаллов апатита, приготовленных в процессе ЭР,
дают (U-Th)/He возрасты от 128 до 141 млн. лет. Три отдельных кристалла
апатита, приготовленных механически, дают (U-Th)/He возрасты от 120 до 134 млн.
лет (Ghorbal et al. 2008). Этот
диапазон возраста типичен для диапазона, обнаруженного при повторных измерениях
на кристаллах апатита из той же породы (см. Persano et al. 2002), и, что важно, он не отличается от диапазона,
обнаруженного на кристаллах, подготовленных механически. Этот возрастной
диапазон согласуется с большим диапазоном соотношений Th/U (0,68 до 1,40),
который также включает в себя диапазон, показанный обработанными механически
кристаллами (0,70 до 0,84) (Рис. 4a).
Потеря Не за счет рассеивания из кристаллов апатита в значительной
степени определяется радиусом зерна (см. Reiners and Farley 2001). Если малое
количество утраченного из-за рассеивания Не вуалируется естественной
вариабельностью возраста, меньший возраст приходится преимущественно на зерна
меньшего радиуса. Значимой взаимозависимости между размером кристалла
(описываемого радиусом зерна) и возрастом (рисунок 4) нет – это дополнительно
свидетельствует о незначительной потере Не во время процесса ЭР.
Выводы
Апатиты, разделенные способом электродинамической дезагрегации
дали статистически эквивалентные распределения длин следов распада сравнительно
с механически разделенными апатитами. Значимой взаимозависимости между размером
кристалла (описываемого радиусом зерна) и возрастом (рисунок 4) нет – это
дополнительно свидетельствует о незначительной потере Не во время процесса ЭР.
(U-Th)/He возраст апатитов, разделенных электродинамическим
способом, оказался неотличимым от возрастов, измеренных на апатитах, извлеченных
обычными механическими способами. Это служит надежным указателем незначительности
увеличения потери Не за счет рассеивания (в пределах неопределенности данных ~
5%) в ходе процесса ЭР.
Для улучшения статистического обоснования нужны дополнительные
исследования. Тем не менее, воздействие на длину следов распада или индуцированную
диффузионную потерю Не из-за плазменного канала, прямо попадающего в кристалл
апатита, невозможно оценить на основании этого исследования. Кристаллы, поврежденные
плазменным каналом легко опознать по тонким элементам расплава на поверхности
(Gnos et al. 2006). Эти элементы
выглядят ограниченными – не глубже 1-2 мкм от поверхности кристалла – и не
проникают в зерно. Таким образом, теплопроводность минералов и стекла,
вероятно, слишком малы, а длительность нагревания недостаточна для полного
расплавления.
Благодарность
Благодарим Александра Ве за конструктивные обсуждения и Кристину
Лемп за обработку образцов и за важные соображения по практическим вопросам
обработки. Благодарим Даниэля Руфера и Ингу Шинделвиг за обсуждение предыдущей
версии этой рукописи. Эта статья была улучшена благодаря комментариям двух
анонимных обозревателей. Благодарим Михаэля Винденбека за поддержку в работе с
рукописью. Исследование финансировалось через проект KTI 7789.1 EPRP и кредит
Швейцарского национального научного фонда (Swiss National Science Foundation)
200020-105453/1.
Ссылки
Andres U. (1977)
Liberation of apatite nepheline ore comminuted by penetrating
electric discharges. International
Journal of Mineral Processing, 4, 33-38.
Andres U. (1989)
Parameters of disintegration of rock by electrical pulses. Powder Technology, 58, 265-269.
Andres U. (1995)
Electrical disintegration of rock. Mineral
Processing and Extractive Metallurgy Review, 14, 87-110 .
Andres U. and Bialecki R. (1986)
Liberation of mineral constituents by high voltage pulses. Powder Technology, 48, 269-277.
Andres U., Jirestig J. and Timoshkin I. (1999)
Liberation of minerals by high-voltage electrical pulses. Powder Technology, 104, 37-49.
Bialecki R., Choi P. ,
Andres U. and Shaw C.T. (1992)
Disintegration of rock by high voltage pulse discharge. In: Prestwich K. and White R. (eds), Eighth IEEE International Pulsed
Power Conference (San Diego, California 1991), 838-841.
Bluhm H., Frey W., Giese
H., Hoppé P. , Schultheiß C. and Sträßner R. (2000)
Application of pulsed HV discharges to material fragmentation and
recycling. IEEE Transactions on
Dielectrics and Electrical Insulation, 7, 625-636.
Bluhm H., Baumung K., Böhme
R., Frey W., Giese H., Heinzel A., Hoppé P. , Link G., Müller G.,
Schultheiß C., Schumacher G., Sträßner H., Strauß D., Weisenburger A. and
Zimmermann F. (2001)
Pulsed power science and technology at Forschungszentrum Karlsruhe. International Conference on Pulsed Power
Applications, Gelsenkirchen, March 27-29, A.04.
Cabri L.J., Beattie M.,
Rudashevsky N.S. and Rudashevsky V.N. (2005)
Process mineralogy of Au, Pd and Pt ores from the Skaergaard intrusion,
Greenland, using new technology. Minerals
Engineering, 18, 887-897.
Donelick R.A., Ketcham
R.A. and Carlson W.D. (1999)
Variability of apatite fission-track annealing kinetics II:
Crystallographic orientation effects. American
Mineralogist, 84, 1224-1234.
Dumitru
T.A. (1993)
A new computer-automated microscope stage system for fission-track
analysis. Nuclear Tracks and Radiation
Measurements, 21, 575-580.
Farley K.A. (2000)
Helium diffusion from apatite: General behavior as illustrated by Durango
fluorapatite. Journal of Geophysical
Research – Solid Earth, 105, 2903-2914.
Foeken J.P.T., Stuart
F.M., Dobson K.J. and Vilbert D. (2006)
A diode laser system for heating minerals for (U-Th)/He chronometry. Geochemistry Geophysics Geosystems, 7,
Q04015, doi:10.1029/2005GC001190.
Finkelstein G.A., Kurets
V.I., Tsukerman V.A. and Isoitko V.M. (1989)
Selectivity of disintegration by electric pulses. Obogashchenie Rud, 4, 36-37 (in Russian).
Galbraith R.F. and
Laslett G.M. (1988)
Some calculations relevant to thermal annealing of fission tracks in
apatite. Proceedings of the Royal
Society London, A 419, 305-321.
Gnos E., Kurz D. and
Eggenberger U. (2006)
Electrodynamic disaggregation of geologic material. 4th Swiss Geoscience Meeting, Bern 2006.
Ghorbal B., Bertotti G.,
Foeken J. and Andriessen P. (2008)
Unexpected Jurassic to Neogene vertical movements in “stable” parts of NW Africa
revealed by low temperature thermochronology. Terra Nova, 20, 355-363.
Green P.F. and Durrani
S.A. (1977)
Annealing studies of tracks in crystals. Nuclear Tracks, 1, 43-55.
Hurford A.J. (1990a)
Standardization of fission-track dating calibration: Recommendation by the
fission-track Working Group of the I.U.G.S. Subcommission on Geochronology. Chemical Geology (Isotope Geoscience
Section), 80, 171-178.
Hurford A.J. (1990b)
International Union of Geological Sciences Subcommission on Geochronology
recommendation for the standardization of fission-track dating calibration and
data reporting. Nuclear Tracks and
Radiation Measurements, 17, 233-236.
Kalyatsky I.I., Kurets
V.I., Finkelstein G.A. and Tsukerman V.A. (1980)
The principle of electric pulse disintegration and prospects for the
application in industry. Obogashcheniye
Rud, 1, 6-11 (in Russian).
Ketcham R.A. (2003)
Observations on the relationship between crystallographic orientation and
biasing in apatite fission-track measurements. American Mineralogist, 88, 817-829.
Ketcham R.A. (2005a)
The role of crystallographic angle in
characterizing and modeling apatite fission-track length data. Radiation Measurements, 39, 595-601.
ссылки
Ketcham R.A. (2005b)
Forward and inverse modeling of low-temperature thermochronometry data. Reviews in Mineralogy and Geochemistry, 58,
275-314.
Kurets V.I., Usov A.F.,
Finkelstein G.A., Shuloyakov A.D. and Shuloyakova E.A. (1989)
Complex plant for disintegration and separation of rough crystals from
productive ores. Obogashchenie Rud, 4,
40-41 (in Russian).
Laslett G.M. and
Galbraith R.F. (1996)
Statistical modelling of thermal annealing of fission tracks in apatite. Geochimica et Cosmochimica Acta, 60,
5117- 513 1.
Lastra R., Cabri L.J.
and Weiblen P.W. (2003)
Comparative liberation study by image analysis of Merensky Reef samples
comminuted by electric-pulse disaggregation and by conventional crusher. International Mineral Processing Congress,
22, 251-260.
Persano C., Stuart F.M.,
Bishop P. and Barfod D. (2002)
(U-Th)/He age constraints on the development of the Great Escarpment of the
southeastern Australia passive margin. Earth
and Planetary Science Letters, 200, 79-90.
Ravenhurst C.E. and
Donelick R.A. (1992)
Fission track thermochronology. In:
Zentilli M and Reynolds P.H. (eds), Mineralogical Association of Canada, short
course handbook on low temperature thermochronology, 21-42.
Reiners P. and Farley
K.A. (2001)
Influence of crystal size on apatite (U-Th)/He thermochronology: An example
from Bighorn Mountains, Wyoming. Earth
and Planetary Science Letters, 188, 413-420.
Rudashevsky N.S.,
Burakov B.Y., Lupal S.D., Shuloyakov A.D. and Kurets V.I. (1991)
Electric-pulse disintegration; an optimal technique for separating unbroken
grains of accessory minerals. Transactions
(Doklady) of the USSR Academy of Sciences. Earth Science Sections, 319A,
172-176.
Rudashevsky N.S.,
Burakov B.E., Lupal S.D., Thalhammer O.A.R. and Saini-Eidukat B. (1995)
Liberation of accessory minerals from various rock types by electric pulse
disintegration – method and applications. Transactions
of the Institute of Mining and Metallurgy, 104, C25-C29.
Saini-Eidukat B. and
Weiblen P.W. (1996)
Liberation of fossils using high voltage electric pulses. Curator, 39, 139-144.
Schmitz M.D. and Bowring
S.A. (2001)
U-Pb zircon and titanite systematics of the Fish Canyon Tuff: An assessment
of high-precision U-Pb geochronology and its application to young volcanic
rocks. Geochimica et Cosmochimica Acta,
65, 2571-2587.
Semkin B.V., Usov A.F.
and Kuretz V.I. (1995)
The principles of electric impulse destruction of materials. Nauka, (St. Petersburg), 276pp. (in Russian).
Seward
D., Grujic D. and Schreurs G. (2004)
An insight into the breakup of Gondwana: Identifying events through
low-temperature thermochronology from the basement rocks of Madagascar. Tectonics, 23, TC3007,
doi:10.1029/2003TC001556.
Shuloyakov A.D. (1991)
Release and concentration of accessory minerals by electric-impulse
disintegration; an effective method in technological mineralogy. Obogashcheniye Rud, 5, 82-87 (in
Russian).
Shuloyakov A.D., Lupal
C.D. and Tarakanovsky E.N. (1989)
Plant for preferred disintegration of geological samples (DIK-1M). Obogashchenie Rud, 4, 45 (in Russian).
Shuloyakov A.D.,
Finkelstein G.A., Tsukerman V.A. and Kurets V.I. (1995)
Electric pulse disintegration as the most efficient method for selective
destruction of minerals. Proceedings XIX
International Mining Process Congress, San Francisco, 147-150.
Touryan K.J., Touryan
L.A. and Benze J.W. (1992)
An innovative use of pulsed powder technology for separation of minerals
from ores. Eighth IEEE International Pulsed Power Conference (San Diego,
California 1991). In: Prestwich, K. and
White R. (eds), Eighth IEEE International Pulsed Power Conference (San Diego,
California 1991), 90-93.
Usov A.F. and Tsukerman
V. (2000)
Prospective electric impulse processes for the study of the structure and
processing of mineral raw materials. Proceedings
XXI International Mineral Processing Congress, Rome, C, C2.8-C2.15.
Weiblen P.W. (1994)
A novel electric pulse method for obtaining clean mineral separates for
geochemical and geophysical research. EOS,
Transactions of the American Geophysical Union, 75, 70.
Worobjow A. and
Sajadowskajam J. (1955)
Elektrische Festigkeiten von festen Dielektrika. Gostechisdat, Moskau. In: Sjomkin B.W., Ussow A.F. and Kurez W.I.
(eds), Grundlagen der elektrischen Impulszerstörung von
Material. Russische Akademie der Wissenschaften, 77pp. (in German
translation).
Yutkin L.A. (1955)
The electrohydraulic effect. Maschgiz
[State scientific press for machine construction literature] (Moscow).
Translation number AD 267-722, Armed services technical information agency
(Arlington, Virginia), 100pp.